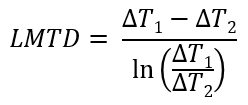
LMTD定义-对数平均温差
对数平均温差(LMTD)是热流体和冷流体之间的平均温差的指示器换热器.
使用以下方程式计算-
ΔT1.→ 热交换器一端的热流体和冷流体之间的温差
ΔT2.→ 热交换器另一端的热流体和冷流体之间的温差
从方程中可以看出,LMTD使用温差的对数平均值,而不是算术平均值。
您还可以使用计算器快速计算LMTD对于给定的交换机。
用LMTD计算传热
以下方程式用于使用LMTD计算热交换器的整体传热。
Q=U×A全面的×LMTD。。。。。。。方程式(i)
在这里
Q是给定热交换器的总传热率(瓦特)
U是该换热器的总传热系数
A.全面的总体效果如何传热面积在换热器的热侧和冷侧之间
LMTD是上述温差的对数平均值。
LMTD如何影响换热器的设计和选择?
通常,您会使用热交换器来加热或冷却“工艺流体”。这是通过使用比工艺流体更热或更冷的“公用设施”来完成的,具体取决于要求。
换热器的热侧和冷侧之间有很大的温差,这肯定会促进更好更快的传热速度。参考上面的方程式(i)。
因此,对于大型LMTD,您需要较小的传热面积,这意味着您可以选择设计更简单、更易于维护的较小热交换器。
所以,一般来说,你最好选择一个比你的工艺流体更热或更冷的实用程序。
应采取的其他预防措施
如果你考虑其他因素,那么这个问题的答案可能会(或可能不会)改变。
例如,如果你考虑你的过程流体的温度控制,你将需要一个非常精细调谐流动控制器在公用事业方面。因为即使公用设施流量的微小变化也会放大为工艺侧的温度变化。
计算LMTD并了解其他细微差别
这里有更多关于LMTD的推荐链接。
- 快速教程LMTD计算
- 有时LMTD方程会失败。本教程将指导您完成以下步骤:LMTD公式失败时的步骤.
乐动体育网站怎样计算器-






