Control valves are elements used in process control loops to adjust process variables such as flow, liquid levels, pressure, temperature etc. Control valves essentially consist of a valve and an actuator, more valve control elements may also be present in certain cases.
这些阀门实现所需控制代用t essentially by throttling the flow.
CONTROL VALVE CHARACTERISTICS
The relationship between the control valve opening (also known as ‘valve travel’) and the flow through valve is known as the flow characteristic of that valve. An inherent flow characteristic is the relation between valve opening and flow under constant pressure conditions.
The gain of a valve is defined as the change in flow per unit % change in the valve opening.
- Thelinear flow characteristic斜率不变,这意味着阀门吗type have constant gain through complete range of flows. These valves are often used for liquid level control and certain flow control operations requiring constant gain.
- Equal percentagevalves are known by that name because whenever the valve opening is changed, the percentage change in flow is equal to percentage change in the valve opening. This means the change in flow proportional to the flow just before the incremental valve opening is performed. This can also observed in the following figure. This type of valves is commonly used for pressure control applications. They can be considered for applications where high variations in pressure drop are expected.
- Quick openingtype of valves does not have a specific mathematical definition. These valves give a large increment in flow for relatively smaller valve opening, as can be observed in the following figure. These valves usually find use for on-off service applications.
- Modified parabolicvalves lie somewhere between the linear valves and equal percentage valves. As can be observed in the following figure, they can be used for throttling at low flow levels and have almost linear characteristics at higher flows.
GENERAL CATAGORIES
Valves can be broadly categorized based on the type of stem movement – linear or rotary type.
Globe Valves:Globe valves are most commonly used liner stem motion type control valves. The flow control for this type of valves is achieved by motion of a plug as shown in the following figure. The shape and type of the plus also determines the valve flow characteristics.
Gate valve:Gate valves use linear type of stem motion for opening and closing of valve. These valves use discs as closure member, as can be seen in the following figure. The faces of this disc can be either parallel or the disc can be wedge shaped.
Butterfly Valves:Butterfly valves are known for their compact size and low initial costs, which is primarily due to the small wafer and body size of these valves and the simplicity of this design. This valve belongs to the rotary stem motion type of valves.
Ball Valves:These valves use a spherical shaped closure member with a cylindrical bore through the member for passage of flow. This spherical closure member has to be rotated by 90 degrees to bring the valve from fully closed position to fully open position. This type gets the name from the shape of the closure member. If the diameter of the cylindrical bore is same as that of the connecting pipe, the valve is known as full bore valve. If this diameter is less than that of the connecting pipe, the valve is known venturi style valve. These valves rotary stem motion.
Sizing of Control Valves
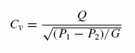
The orifices of control valves can be adjusted to control the flow through them. Control valve sizing and selection is based on a combination of theory and empirical data. The capacity, characteristic, rangeability and recovery are four important elements for selection of a control valve.Cvis known asflow coefficient or orifice coefficientof a valve. This coefficient Cvis related to the flow and pressure conditions by the following basic liquid equation.
Hence,
The required Cvfor a valve can thus be calculated based on flow and pressure conditions. This Cvshould then be matched to that of the available valves and a suitable valve should be selected so that the required Cvfalls between 70% to 90% of the selected valves Cvcapability. The possibility of maximum and minimum process flows has also to be taken into consideration while selecting the valve.
Many flow cases may often fall outside the range of the basic liquid equation mentioned above for Cvcalculation. For these cases a modified liquid equation for Cvcalculation is given as,
The basic equation mentioned above for liquids is given below in the modified form for gases.
Thecapacityof a control valve is represented as,
Cd= Cv/ d2(d being the diameter of the valve)
Valve characteristicis the relation between valve opening (valve travel) and flow through the valve.
Rangeabilityof valve can be defined as the ratio of maximum to minimum flow over which good control can be achieved by using the valve.
Recoveryis refers to the pressure recovery from the low pressure at vena contracta to the valve outlet. Pressure recovery is high for well streamlined valves.















