热交换器是用于将热量从一种介质传递到另一种介质的设备。不同的热交换器类型广泛应用于过程工业,这两种介质通常是过程或公用事业流体。
选择一种特殊类型的热交换器取决于两种流体的性质,它们的压力、温度、流量和所需的传热率。因此,了解换热器的基本工作原理是很重要的,以便在给定的情况下做出明智的决定,可以使用哪种换热器。
换热器基本工作原理
热交换器有助于从一种介质到另一种介质的传热。这些介质通常是两种工艺流体,如油、水、蒸汽、气体、空气等。一般来说,一种流体比另一种要热得多。
我们有一种热的和一种冷的液体。热交换器使热量通过金属壁从热流体流动到冷流体。
热交换器将热流和冷流通过金属表面相互分离的通道。由于金属的高导热性,热量从热流流向冷流。热流体离开热交换器,稍微冷一点。冷流出去的时候会更热一些。
这就是为什么热交换器被广泛用于加热或冷却加工厂的流体流。
换热器设计和运行中的重要参数
为了了解换热器的基本工作原理及其对换热器性能的影响,重要的是查看一些参数。
热流体和冷流体的性质
必须考虑两种流体的化学成分、纯度、温度和压力对换热器金属壁的影响。
有些液体会导致腐蚀和污染,降低换热器的传热效率。因此,必须选择热交换器的金属和类型,以确保最小的污垢和易于维护。这是标准的做法将脏液或腐蚀性液体保持在管侧的管壳式换热器,因为管束的内壁是易于机械清洗.
流量,温差,表面积
换热操作所需的总换热率用下列公式计算-
式中,Q =总传热率
W管和W壳牌管侧和壳侧的质量流量分别是多少
CpT和CpS管侧和壳侧的比热容分别是多少
ΔT管为管侧(管侧进口/出口)温差
ΔT壳牌为壳侧(壳侧进口/出口)温差
因此,使流体(从入口到出口)发生所需温度变化所需的总传热速率与流量、比热和ΔT本身成正比。
此外,这一传热速率要求为我们提供了所需的总传热面积,以实现所需的传热操作。
式中,Q =总传热率
U =总传热系数
一个整体=整体传热面面积
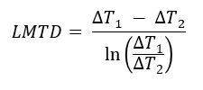
对数平均温差
在那里,
ΔT1→换热器一端的冷热流体的温差
ΔT2→换热器另一端的冷热流体的温差
这些方程为换热器设备的设计提供了基本框架。通常,换热器的设计是一个非常开放的问题,你可能会得到不同的解决方案,不同的方法来解决这个问题。
换热器设计:开放性问题
考虑以下例子:
- 如果你有一个大的传热面积的要求,你可以寻找一个紧凑的换热器设计。一个板和框架交换器将给你一个大的传热面积,与更小的足迹。
- 另一方面,您可能决定使用不同的实用程序来增加LMTD并减少对传热面积的需求。
根据你的情况,你可能会选择某种类型的交换器或改变工艺/操作条件来解决相同的问题。
你采取的方法将决定最终解决方案的有效性。并了解换热器的基本工作原理,将使您采取最好的方法。








